Bilayer materials with layer‑locked Berry curvature dipoles can toggle their nonlinear Hall response under an applied gate field, offering a pathway to new nonlinear quantum devices
The Hall effect is a voltage that appears across a material when a current flows through it in the presence of an external magnetic field. The nonlinear Hall effect, however, can occur without a magnetic field if the material’s internal structure is asymmetric. It typically appears under an AC or oscillating electric field, and the resulting Hall voltage scales with the square of the input current, making it a nonlinear response. Researchers are interested in this effect because it could enable new types of sensors, low‑power logic elements, and electrically switchable quantum devices. But so far, the nonlinear Hall effect has been difficult to control in a reliable, switchable way. In this work, the scientists demonstrate a new method to control the second‑order nonlinear Hall effect using a gate electric field. They show that certain bilayer materials can switch the effect on and off when a gate field is applied, functioning much like a transistor. The switching is non-volatile, binary (ON/OFF), and does not require magnetism.
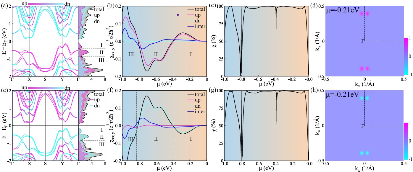
The researchers focus on bilayer SnSe and SnTe, well known ferroelectric and thermoelectric materials. Although these bilayers appear symmetric overall, each layer carries a hidden internal polarization. This hidden polarization is tied to a layer‑locked hidden Berry curvature dipole, the quantum property responsible for generating the nonlinear Hall effect. Under a gate field, the hidden polarization behaves like a pseudospin, and the gate field acts as a pseudospin Zeeman field, selecting the preferred orientation of this polarization. Reversing the direction of the gate field flips the pseudospin orientation and therefore switches the nonlinear Hall response.

By screening 80 possible bilayer symmetry groups, the authors identify 18 that can host this switchable effect, establishing a universal design principle for creating electrically switchable nonlinear Hall devices. This approach combines symmetry analysis, effective modelling, and first‑principles calculations, and it opens the door to future nonlinear quantum electronics. The same design principle can also be extended to other gate‑field-controllable nonlinear transport and optical phenomena, including the circular photogalvanic effect, the nonlinear Nernst effect, and second‑harmonic generation.
Read the full article
A universal design principle for switchable control of the second-order nonlinear Hall effect
Xiaoliang Xiao et al 2026 Rep. Prog. Phys. 89 020501
Do you want to learn more about this topic?
Recent advances in the spin Hall effect of light by Xiaohui Ling, Xinxing Zhou, Kun Huang, Yachao Liu, Cheng-Wei Qiu, Hailu Luo and Shuangchun Wen (2017)